Quiz: Sjöfartshistoria

Diskussioner kring fartyg, flottor och dess utveckling genom tiderna. Tillägnad vår saknade medlem Donkeyman
J18
Medlem
Inlägg: 374
Blev medlem: 15 oktober 2010, 09:52

Re: Quiz: Sjöfartshistoria

Inlägg av J18 » 5 augusti 2015, 20:35

Charles Momsen bärgar USS Squalus 1939

J18+1

varjag
Saknad medlem †
Inlägg: 48101
Blev medlem: 24 april 2002, 12:53
Ort: Australien

Re: Quiz: Sjöfartshistoria

Inlägg av varjag » 5 augusti 2015, 21:25

J18 skrev:Charles Momsen bärgar USS Squalus 1939

J18+1
Rätt, historiens första lyckade ubåstlyft med levande besättningsmedlemmar från 75 meters djup.
Amerikansk teknologi och energi - som bäst!

http://www.newenglandhistoricalsociety. ... ue-ever-2/

Din fråga, Varjag

Användarvisningsbild
Solkungen
Medlem
Inlägg: 669
Blev medlem: 27 oktober 2003, 22:24
Ort: Hedemora

Re: Quiz: Sjöfartshistoria

Inlägg av Solkungen » 6 augusti 2015, 01:36

varjag skrev:
J18 skrev:Charles Momsen bärgar USS Squalus 1939

J18+1
Rätt, historiens första lyckade ubåstlyft med levande besättningsmedlemmar från 75 meters djup.
Amerikansk teknologi och energi - som bäst!

http://www.newenglandhistoricalsociety. ... ue-ever-2/

Din fråga, Varjag
Visst steg besättning upp först innan fartyget bärgades?
Läste i våras boken "Drama på havsbotten", där på sjuttiotalet en amerikansk ubåt går till botten på ca 380 meter, och där svor de över att de fortfarande bara hade samma typ av klocka som användes vid räddningen 1939.
I boken så försöker och försöker de med hjälp av klockan, men djupet och strömmarna gör det hopplöst. Tiden går, en efter en av ubåtens besättning dör, brand och myteri bland de fåtaliga återstående, möte på högsta nivå inom flottan om man ska låta sovjeterna hjälpa till, vilket man beslutar sig för att man inte vågar. Fast räddningsledaren i båten ovanför vågade till slut mot order ta hjälp sovjeterna, och räddningen gick som en dans.
Som jag minns så var det mest prestige och ubåtsdesign som gjorde att de inte ville ta hjälp, samt kodböcker och liknande hemliga papper.
Givetvis är detta bara en påhittad historia, men man lär sig mycket av sådana också.

J18
Medlem
Inlägg: 374
Blev medlem: 15 oktober 2010, 09:52

Re: Quiz: Sjöfartshistoria

Inlägg av J18 » 6 augusti 2015, 08:31

33 man ur besättningen togs upp med dykarklocka från 74 meters djup. 26 man drunknade i de sektioner som vattenfylldes när ubåten sjönk.

Ny fråga:
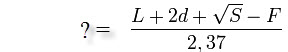
matte!.jpg
matte!.jpg (3.65 KiB) Visad 610 gånger
Vad skall det stå istf ? (och varför)

J18+1

J18
Medlem
Inlägg: 374
Blev medlem: 15 oktober 2010, 09:52

Re: Quiz: Sjöfartshistoria

Inlägg av J18 » 6 augusti 2015, 20:13

upploppjpg.jpg
upploppjpg.jpg (27.49 KiB) Visad 575 gånger
ledtråd

Användarvisningsbild
gunship
Medlem
Inlägg: 1373
Blev medlem: 14 december 2004, 14:00
Ort: Stockholm

Re: Quiz: Sjöfartshistoria

Inlägg av gunship » 6 augusti 2015, 20:24

Froude-tal? (Stvavning?)

J18
Medlem
Inlägg: 374
Blev medlem: 15 oktober 2010, 09:52

Re: Quiz: Sjöfartshistoria

Inlägg av J18 » 6 augusti 2015, 21:41

Nej, ingen strömningsteknik i detta.

Och inte i sådana här heller:
svingjpg.jpg
svingjpg.jpg (8.49 KiB) Visad 560 gånger
(även om luften strömmar runt både hästar och golfbollar)

HJ
Stödjande medlem 2026
Inlägg: 1570
Blev medlem: 31 juli 2003, 16:40
Ort: Göteborg

Re: Quiz: Sjöfartshistoria

Inlägg av HJ » 7 augusti 2015, 07:06

Jag var först också inne på något av de dimensionslösa talen kopplade till strömningsmekanik (Froude, Reynolds, .. ), men till skillnad från dem innehåller denna formel summeringar och har gissningsvis dimensionen längd (såvida inte 2,37 har dimension), eller om man så vill, enheten "Metre" som i "metre rule".

Istället för att skriva med egna ord saxar jag från wikipedia

https://sv.wikipedia.org/wiki/R-regeln
L är längden i vattenlinjen, d = g - c är omfångsdifferensen midskepps, S är segelarean och F är fribordshöjden. g och c är avstånden, längs skrovet respektive längs en rät linje, från vattenlinjen till kölens lägsta punkt. Beteckningarna g och c har sitt ursprung i de engelska orden girth respektive chain.
Och det som döljer sig bakom frågetecknet i ekvationen är en längd i meter som definerar tävlnigsklass för segelbåtar, där 6mR, 8mR och 12mR är kanske mest kända. 12mR användes i Americas Cup fram till 1987, känt exempel för 80-talister är "New Sweden" (syns numera oftast i den ofta repriserade S.O.S en segelsällskapsresa). Observera att t.ex 6mR inte alls innebär att båten är 6 meter lång.

/Håkan

J18
Medlem
Inlägg: 374
Blev medlem: 15 oktober 2010, 09:52

Re: Quiz: Sjöfartshistoria

Inlägg av J18 » 7 augusti 2015, 12:49

Ett helt korrekt och uttömmande svar. Kopplingen till galopphästar & golf: Regeln är egentligen ett handicapsystem - sedan har man valt att bygga båtar i olika klasser beroende på mätetal (6,8,10,12 ända upp till 23).

HJ frågar

HJ
Stödjande medlem 2026
Inlägg: 1570
Blev medlem: 31 juli 2003, 16:40
Ort: Göteborg

Re: Quiz: Sjöfartshistoria

Inlägg av HJ » 7 augusti 2015, 14:27

Tack så mycket J18.

Inom sjöfart finns ett speciellt dokument med utgångspremissen
"NO CURE – NO PAY"
skriven med stora bokstäver. Vad handlar det om för dokument ?

/Håkan

Amund
Stödjande medlem 2023
Inlägg: 9800
Blev medlem: 15 juni 2009, 08:52
Ort: Västerbotten

Re: Quiz: Sjöfartshistoria

Inlägg av Amund » 7 augusti 2015, 18:11

Hm... Har det något med högsjöbogsering att göra..?

HJ
Stödjande medlem 2026
Inlägg: 1570
Blev medlem: 31 juli 2003, 16:40
Ort: Göteborg

Re: Quiz: Sjöfartshistoria

Inlägg av HJ » 7 augusti 2015, 23:53

Ja, det kan man säga. Dispyt om ett sådant dokument påstods (felaktigt) ha bidragit till Europas största oljeutsläpp på havet.

/Håkan

unmo300
Medlem
Inlägg: 2877
Blev medlem: 6 november 2006, 07:45
Ort: ------

Re: Quiz: Sjöfartshistoria

Inlägg av unmo300 » 8 augusti 2015, 00:05

Lloyd's open form.

HJ
Stödjande medlem 2026
Inlägg: 1570
Blev medlem: 31 juli 2003, 16:40
Ort: Göteborg

Re: Quiz: Sjöfartshistoria

Inlägg av HJ » 8 augusti 2015, 14:05

Helt rätt unmo300! Det är Lloyds's open form (LOF) som avses. Open i betydelsen att man inte på förhand bestämmer värdet av bärgningen utan den bestäms i efterhand.

Just eftersom den inte är begränsad kan vissa redare inte vara så lockade av att skriva på sådana, och i fallet Amoco Cadiz som 1978 fick problem med roder i en storm utanför Frankrike var kaptenen tvungen att inhämta tillstånd från rederiet innan han kunde skriva på LOF för att få hjälp av bärgare. I pressen beskrevs det som att detta orsakade den följande förlisningen och europas största oljeutsläpp.
https://en.wikipedia.org/wiki/Amoco_Cadiz_oil_spill

unmo300 tar sig vidare.

/Håkan

unmo300
Medlem
Inlägg: 2877
Blev medlem: 6 november 2006, 07:45
Ort: ------

Re: Quiz: Sjöfartshistoria

Inlägg av unmo300 » 8 augusti 2015, 14:48

Det finns tre sorters människor påstod Anacharsis för mer än tvåtusen år sen, de levande, de döda och de som fara på haven. Ja, det ær væl lite skillnad till sjøss eftersom æven lik kan springa. Vilka lik?

Låst